• Предмет: Алгебра
  • Автор: pvlad9186
  • Вопрос задан 3 года назад

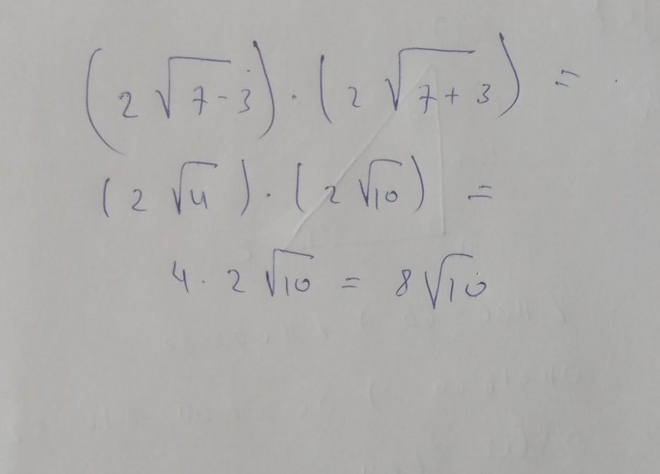
(2корінь7-3) ( 2 корінь з 7 + 3 )
пж очень срочно 50 балов

Ответы

Ответ дал: djdssvjkjd
0

Ответ:

/////////////////))////////

Приложения:

djdssvjkjd: может так?
djdssvjkjd: или я неправильно понял условию?
pvlad9186: ну почти
Вас заинтересует