• Предмет: Математика
  • Автор: tatyanamelnik1002
  • Вопрос задан 3 года назад

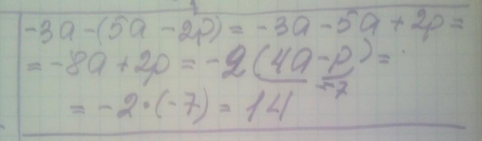
-3а- (5а - 2р), якщо р - 4a = -7.

Ответы

Ответ дал: manyny06
1

Ответ:

решение смотри на фотографии

Приложения:
Вас заинтересует