• Предмет: Алгебра
  • Автор: reyd53797
  • Вопрос задан 3 года назад

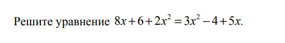
Помогите пожалуйста!

Приложения:

Ответы

Ответ дал: manyny06
0

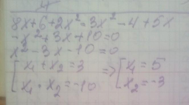
Ответ:

решение смотри на фотографии

Приложения:
Вас заинтересует