Ответы
Ответ дал:
1
Ответ:
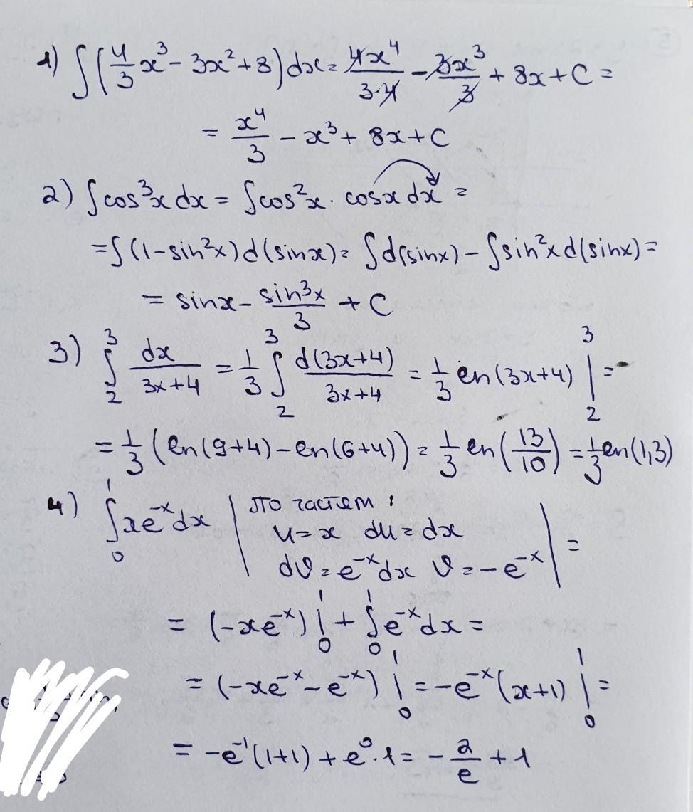
решение на фотографиях
Приложения:


vanyastyazhkin:
Спасибо большое!
Вас заинтересует
2 года назад
2 года назад
2 года назад
2 года назад
8 лет назад
8 лет назад
9 лет назад