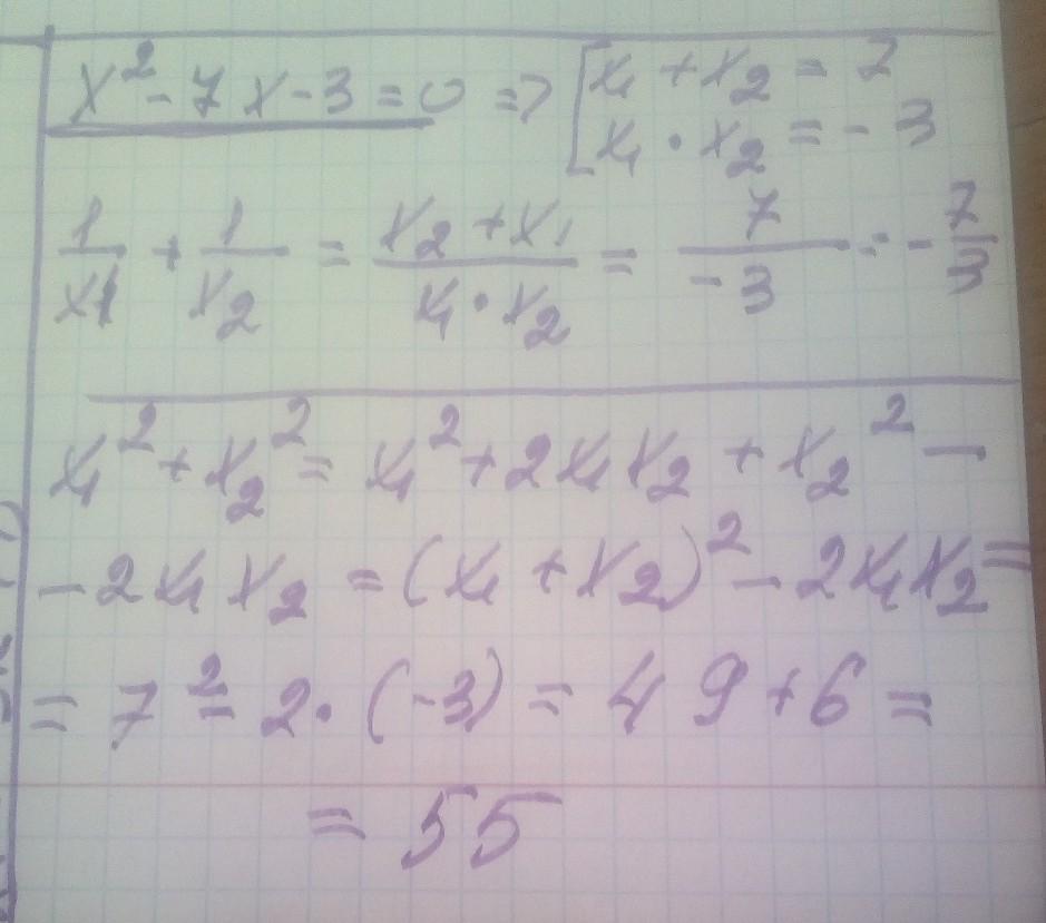
Відомо що х1 і х2 корені рівняння х(в квадраті) - 7х-3=0. Не розв'язуючи рівняння знайдіть значення виразу
а) 1 /х1+1/х2. б) х1(в квадраті)+х2(в квадраті)
ПОМОГИТЕ ПОЖАЛУЙСТА
Ответы
Ответ дал:
1
Ответ:
решение смотри на фотографии
Приложения:

Вас заинтересует
2 года назад
2 года назад
2 года назад
2 года назад
8 лет назад
8 лет назад
9 лет назад