• Предмет: Математика
  • Автор: sudorginamarina07
  • Вопрос задан 3 года назад

Помогите пожалуйста

Приложения:

pushpull: писанины много. вы бы поделили на части задание....

Ответы

Ответ дал: bearcab
1

Ответ:

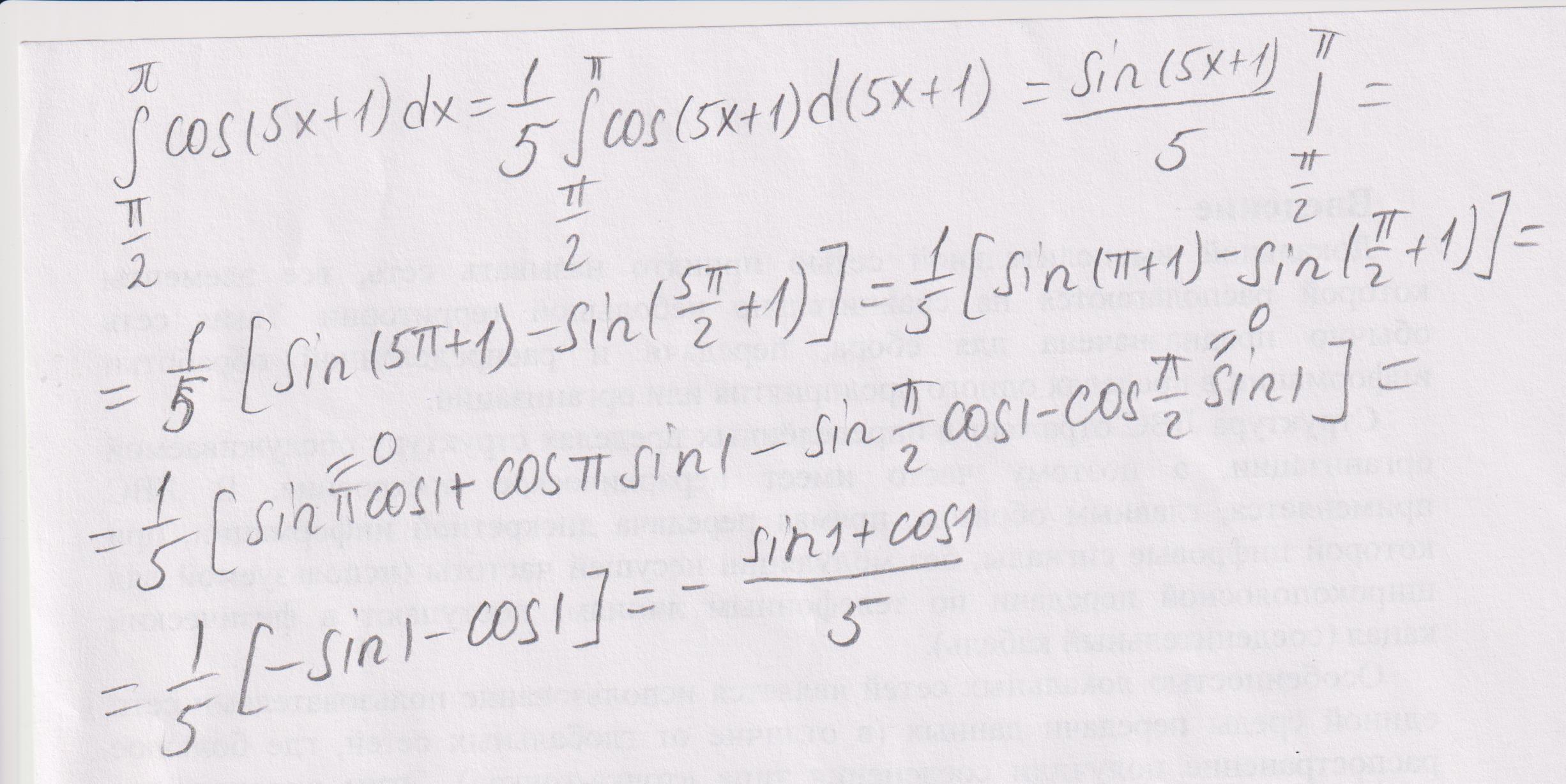
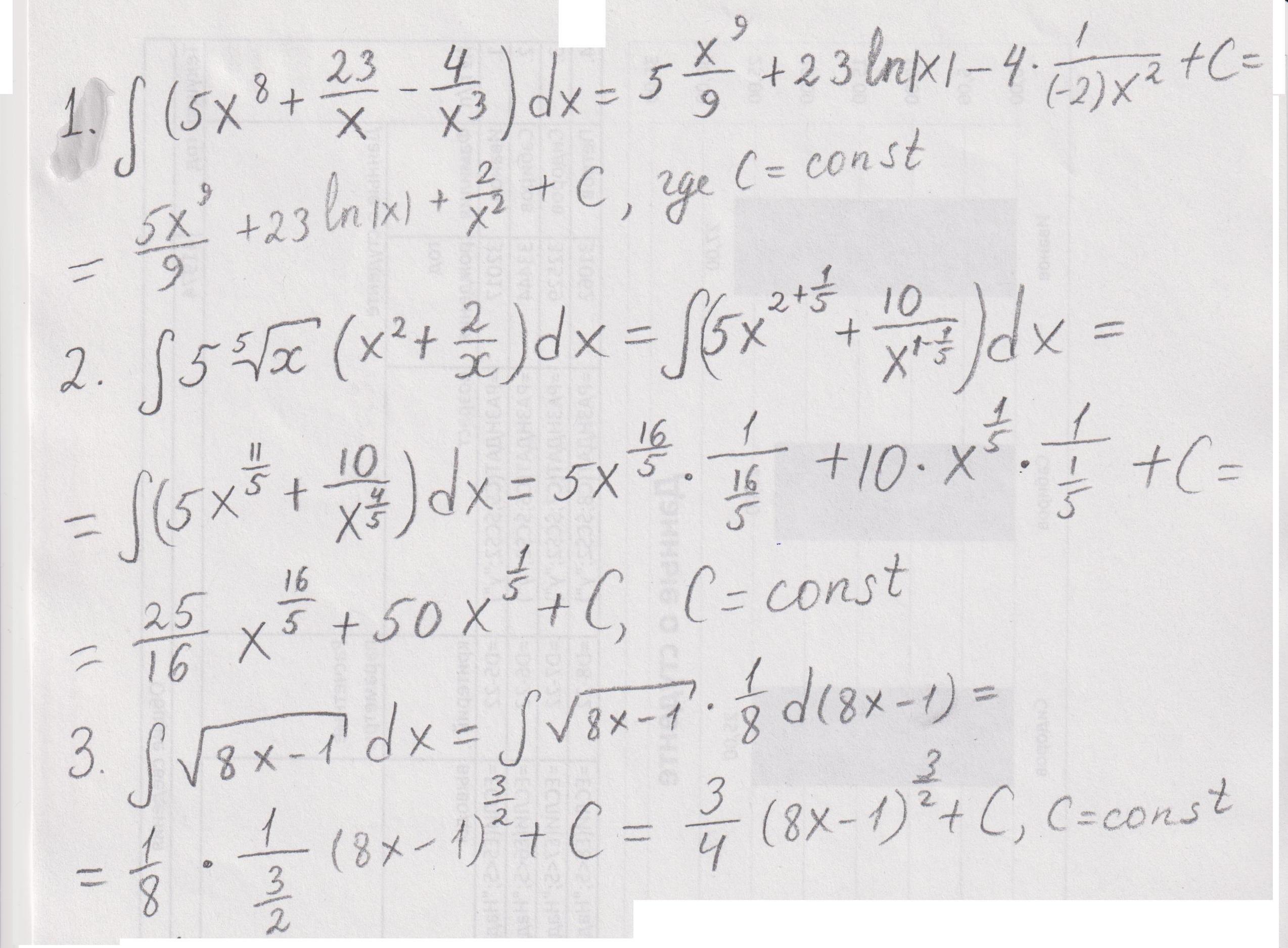
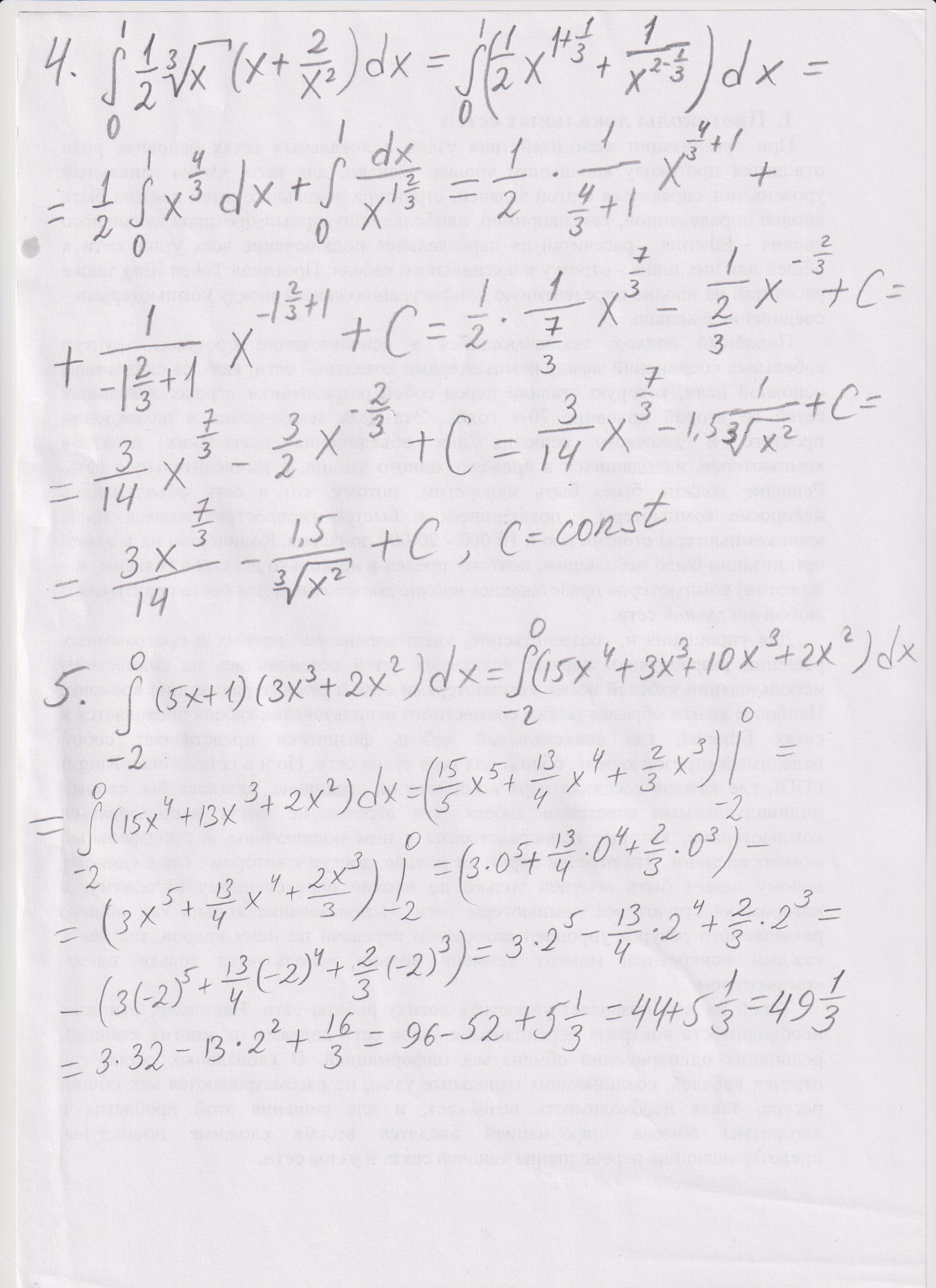
Решение в приложении. Второй файл - это 6-й пример.

Пошаговое объяснение:

Приложения:

sudorginamarina07: Спасибо огромное
Вас заинтересует