• Предмет: Математика
  • Автор: ostanindenis
  • Вопрос задан 3 года назад

Пожалуйста помогите.
Ответы с решением.

Приложения:

Ответы

Ответ дал: nastyamilena10
1

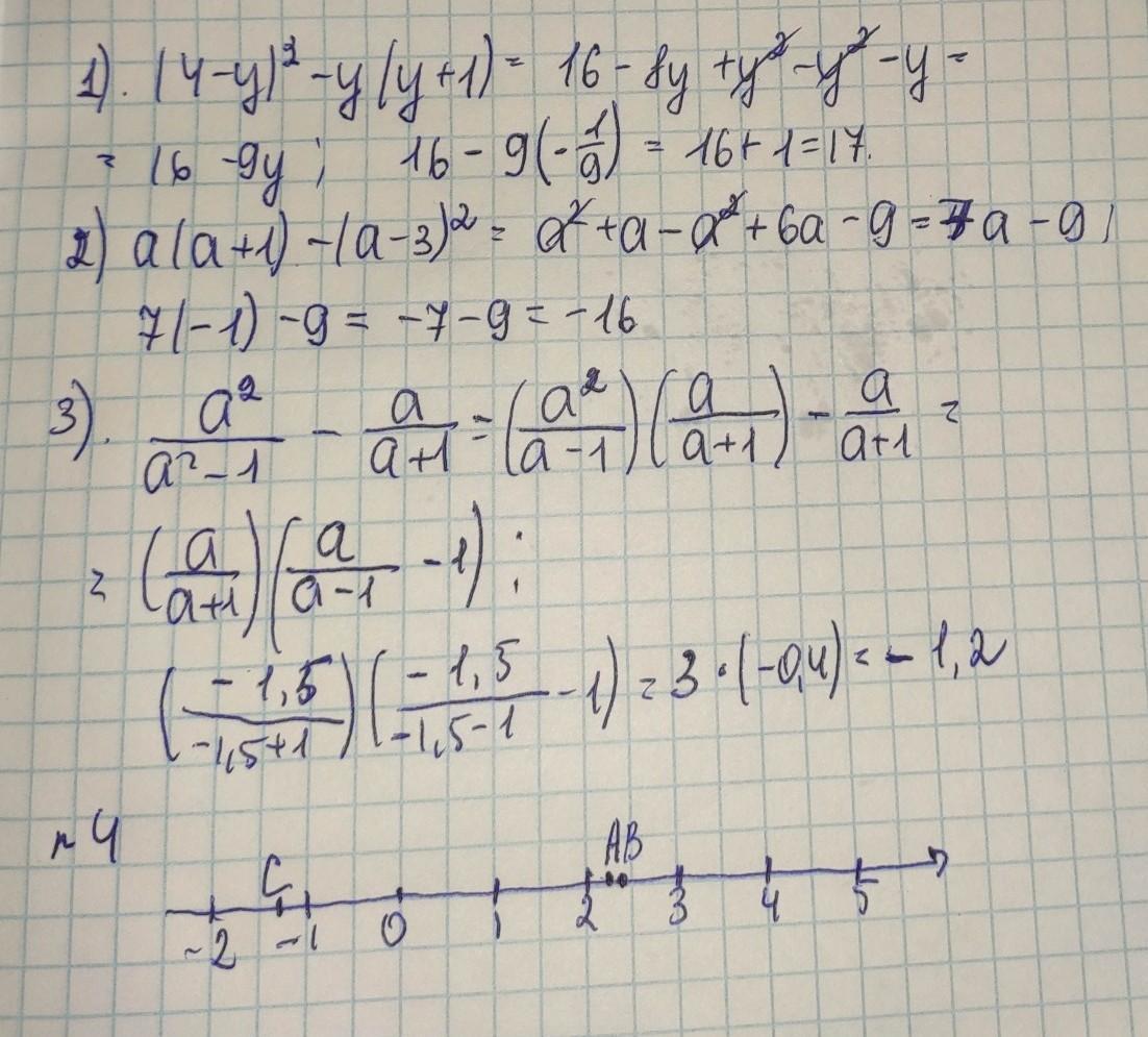
Ответ:

1)17

2)-16

3)-1,2..

Пошаговое объяснение:

подробно на фото

Приложения:
Вас заинтересует