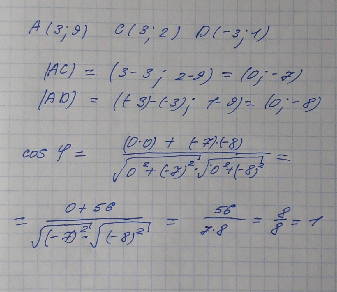
Даны точки А(3; 9), С(3; 2) и D( -3; 1). Найдите косинус угла между векторами АС и АD. Ответ вводить в виде десятичной дроби.
Ответы
Ответ дал:
1
Ответ:
ответ на фото
Пошаговое объяснение:
надеюсь помог
Приложения:

Вас заинтересует
2 года назад
2 года назад
8 лет назад
8 лет назад
9 лет назад