Ответы
Ответ дал:
0
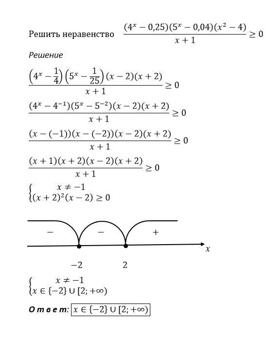
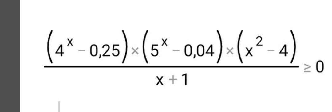
решение я написала на фото
Приложения:

Itakeyourquenn:
Если ты разбираешься в истории и тебе не трудно, то помоги, пожалуйста, мне
Ответ дал:
1
Ответ:
Объяснение:
```````````````````````````````````````````````````````
Приложения:

Вас заинтересует
2 года назад
2 года назад
2 года назад
8 лет назад
8 лет назад
9 лет назад