• Предмет: Математика
  • Автор: yugyghgjhy
  • Вопрос задан 3 года назад

Помогите найти x в отношении!

Приложения:

Ответы

Ответ дал: chivuu27
1

Ответ

_______________

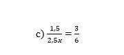
с) 1,5/2,5х= 3/6

   0,6/х=1/2

   3/5/х= 1/2

   3/5х= 1/2

   6=5х

   х= 6/5

b) 1 1/7: 2= 5: z

   1 1/7*z= 10

   8/7 z= 10

   z= 8,75

_______________

Желаю удачи.


yugyghgjhy: Спасибо!
Вас заинтересует