• Предмет: Математика
  • Автор: kiragozko
  • Вопрос задан 3 года назад

Помогите пожалуйста
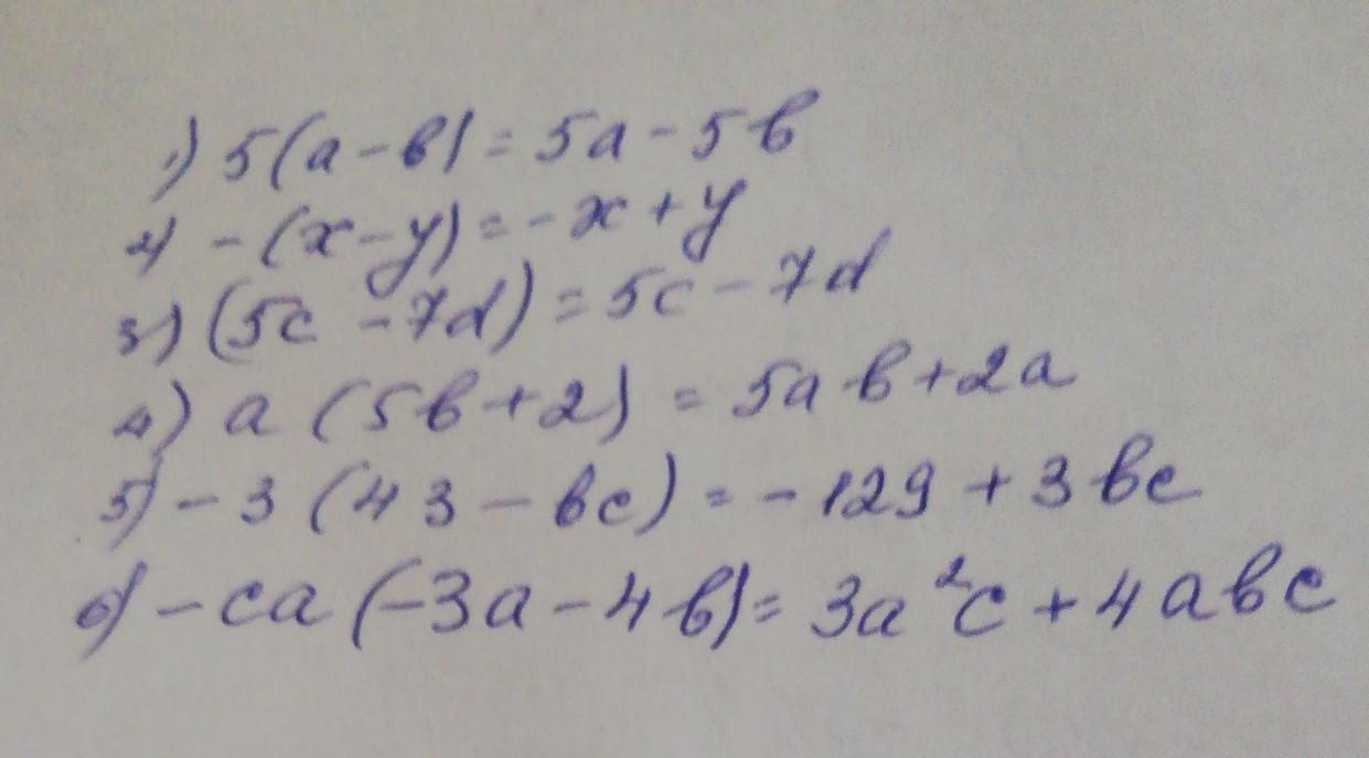
Розкрий дужки
A)5•(а-b)
Б)-(х-у)
В)(5с-7d)
Г)a•(5b+2)
Д)-3•(43-bc)
E)-ca•(-3a-4b)

Ответы

Ответ дал: serovaksusa1
2

Ответ:

Смотри решение на фото

Приложения:
Вас заинтересует