Ответы
Ответ дал:
0
Ответ:
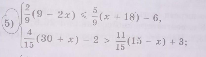
Решение на фотографии... как понял так и решил...
Приложения:

parus77:
вы в уме такие системы решаете?
Вас заинтересует
2 года назад
2 года назад
2 года назад
2 года назад
8 лет назад
9 лет назад