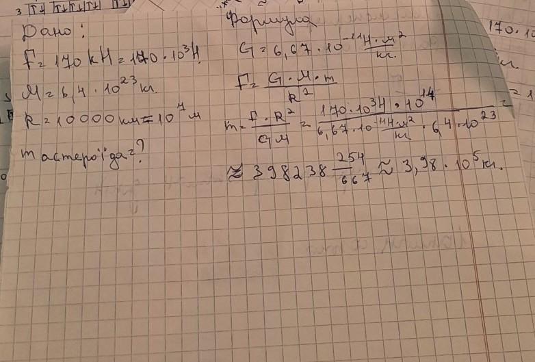
Визначити масу астероїда , якщо сила притягання між ним і марсом становить 170кН . Відстань до Марса 10000км . Маса Марса 6,4*10^23кг
Ответы
Ответ дал:
4
....,.,..,..,.,.,.,... .
Приложения:

Вас заинтересует
2 года назад
2 года назад
8 лет назад
8 лет назад