• Предмет: Алгебра
  • Автор: elena6024
  • Вопрос задан 3 года назад

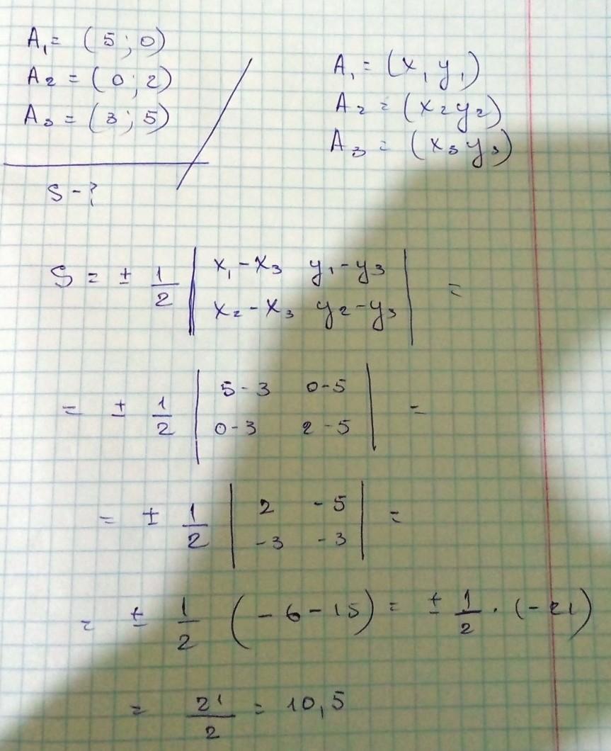
Помогите, пожалуйста, посчитать площадь треугольника с помощью координата

Приложения:

Ответы

Ответ дал: Izatullo
1

Ответ:

Ответ равен 10.5

Смотрите на фото

Приложения:
Вас заинтересует