• Предмет: Математика
  • Автор: dnagornaa62
  • Вопрос задан 3 года назад

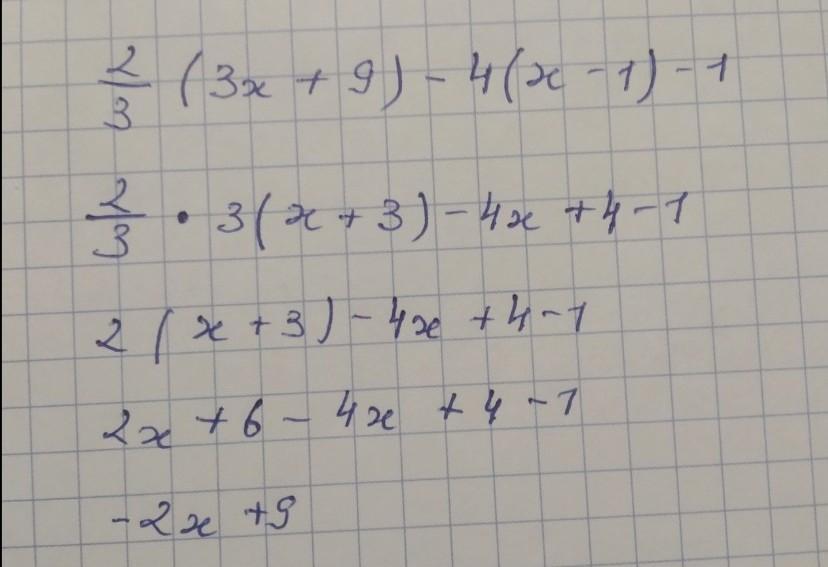
Розв’яжіть рівняння 2/3(3х+9)-4(х-1)-1

Ответы

Ответ дал: uliianas
3

Ну, вот, собственно...

Приложения:
Вас заинтересует