• Предмет: Математика
  • Автор: kdmkaa19
  • Вопрос задан 3 года назад

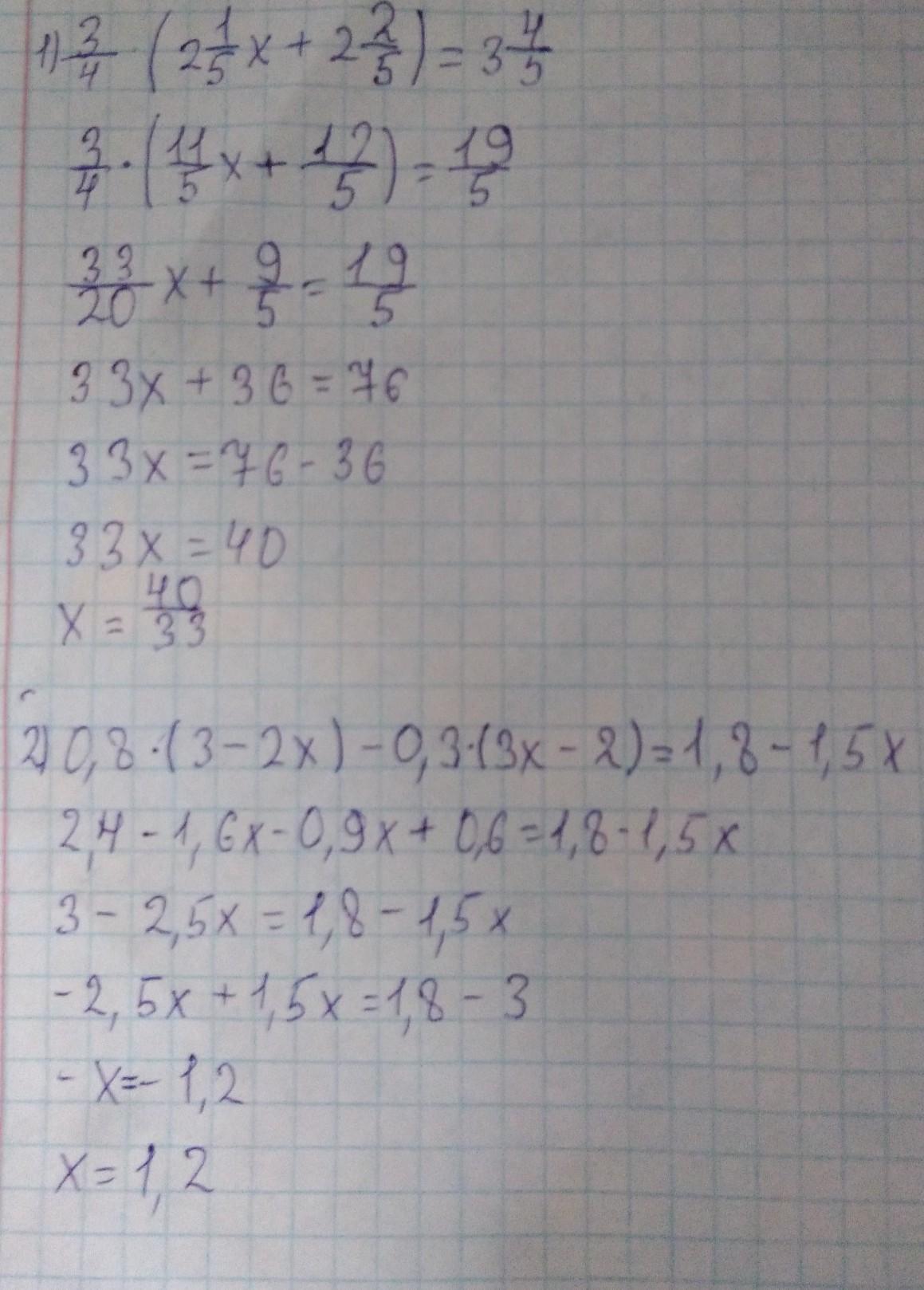
1)4/3*(2 5/1x+ 2 5/2)= 3 5/4
2)0,8(3-2 x)-0,3(3x-2)=1,8-1,5
Пожалуйстаа​

Приложения:

Ответы

Ответ дал: nursapaevamakpal0266
1

Пошаговое объяснение:

Думаю правильно.А если нет не знаю

Приложения:

kdmkaa19: А первый правильный?
nursapaevamakpal0266: Да
kdmkaa19: Первый не правильный((
Вас заинтересует