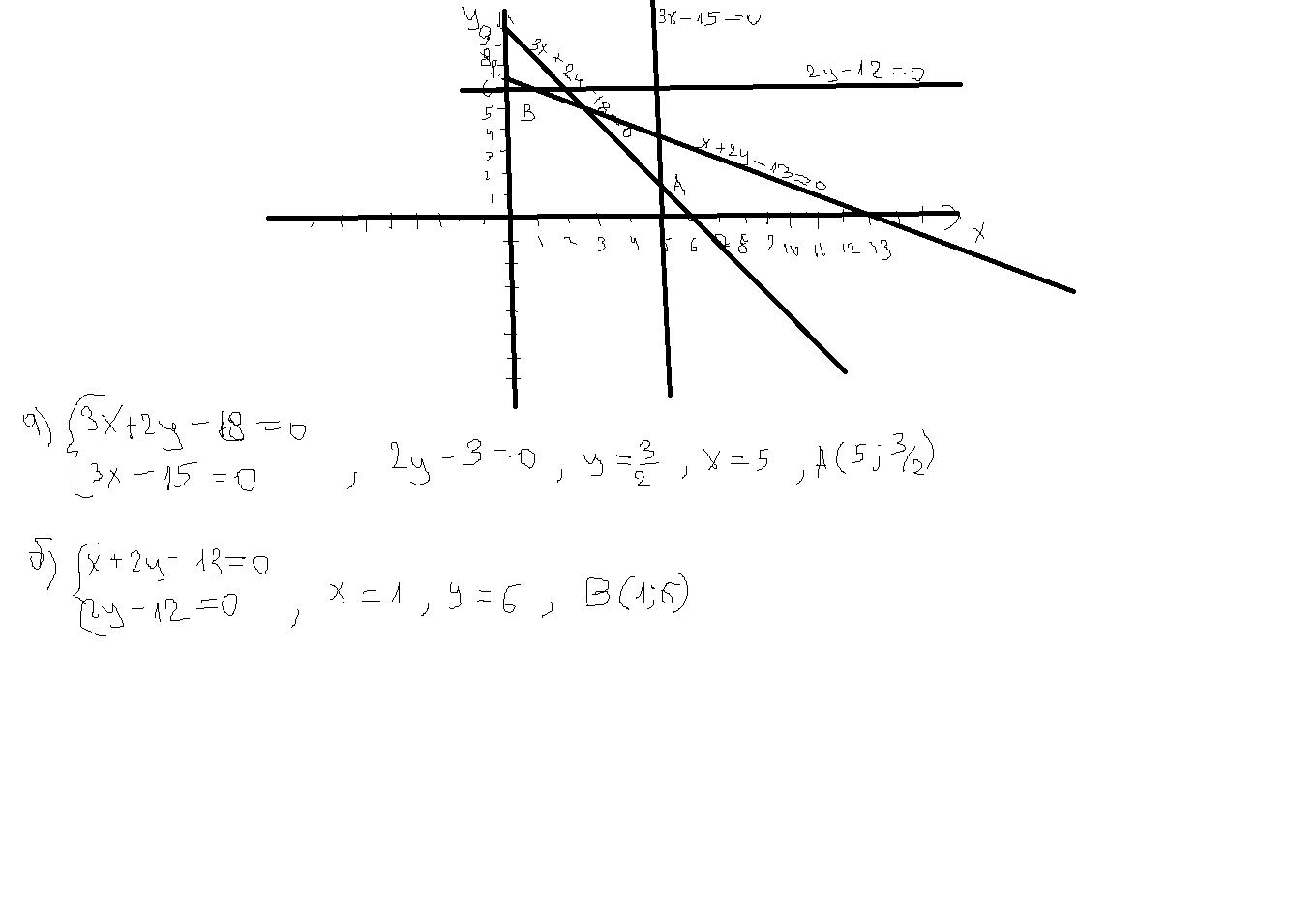
Постройте в одной и той же системе координат следующие прямые: 3x+2y-18=0, x+2y-13=0, 3x-15=0 и 2y-12=0. Определите координаты точек пересечения: а) прямых 3x+2y-18=0 и 3x-15=0; б) прямых x+2y-13=0 и 2y-12=0.
Ответы
Ответ дал:
0
врваоыпоыапоопвапоыапоыапо
Приложения:

Вас заинтересует
2 года назад
8 лет назад
8 лет назад
10 лет назад
10 лет назад