• Предмет: Алгебра
  • Автор: DenchickKristall
  • Вопрос задан 3 года назад

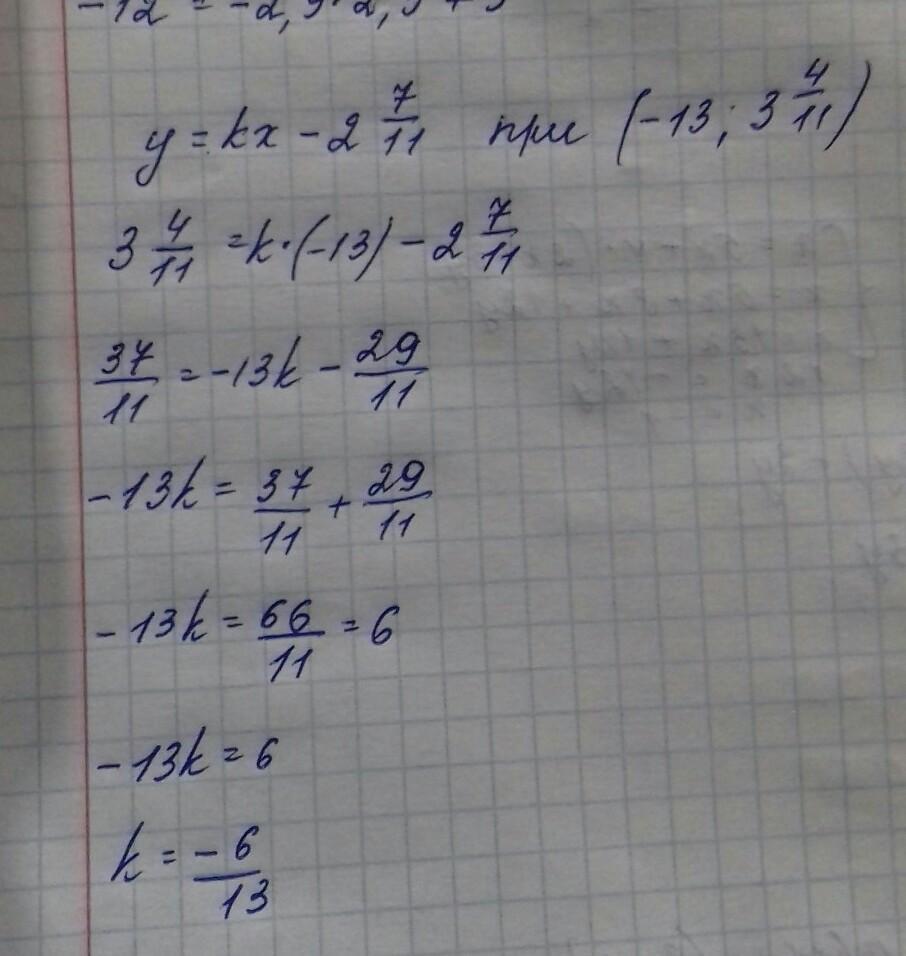
График функции y=kx -2 7/11 проходит через точку с координатами (-13; 3 4/11)
найдите значение коофицента k

Ответы

Ответ дал: furmansergii79
5

Объяснение:

пожалуйста...................................

Приложения:
Вас заинтересует