• Предмет: Математика
  • Автор: Мария2987
  • Вопрос задан 3 года назад

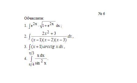
ПОМОГИТЕ МАТЕМАТИКА
СРОЧНОООО
ИНТЕГРАЛЫ
НУЖНО ПОДРАБНОЕ РЕШЕНИЕ

Приложения:

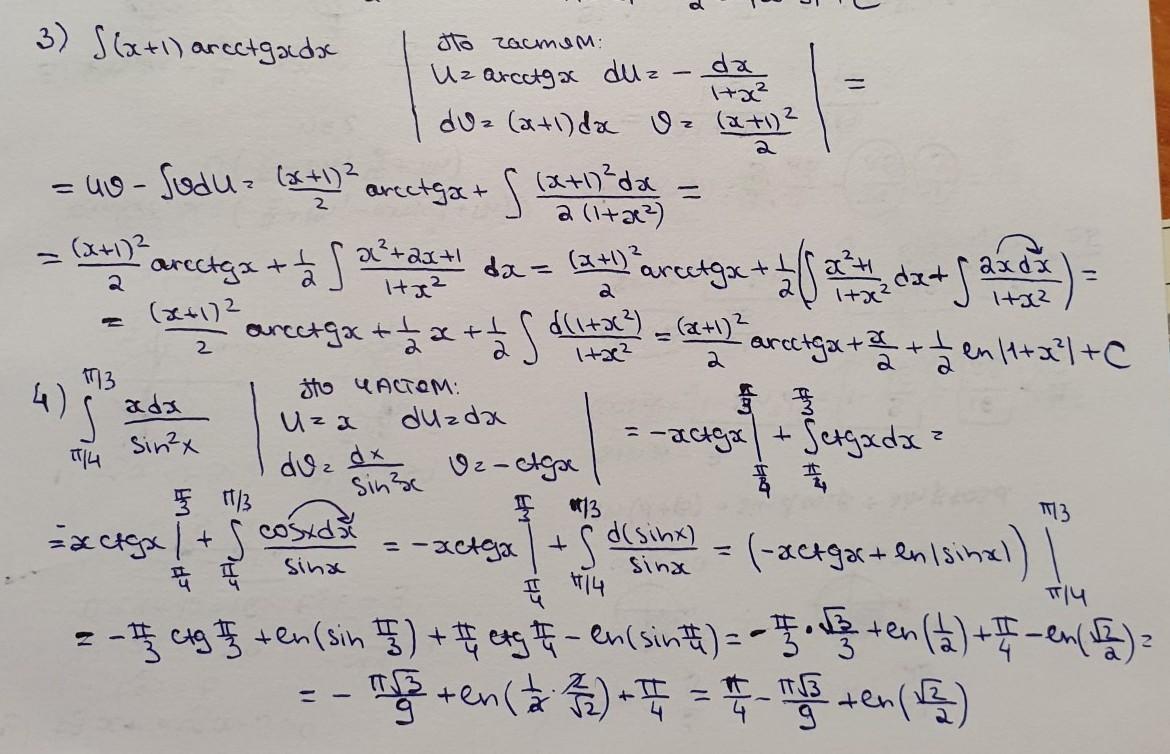
Ответы

Ответ дал: Miroslava227
1

Ответ:

решение на фотографиях

Приложения:
Вас заинтересует