• Предмет: Алгебра
  • Автор: shoesly
  • Вопрос задан 3 года назад

Помогите пожалуйста ​

Приложения:

Ответы

Ответ дал: colncez
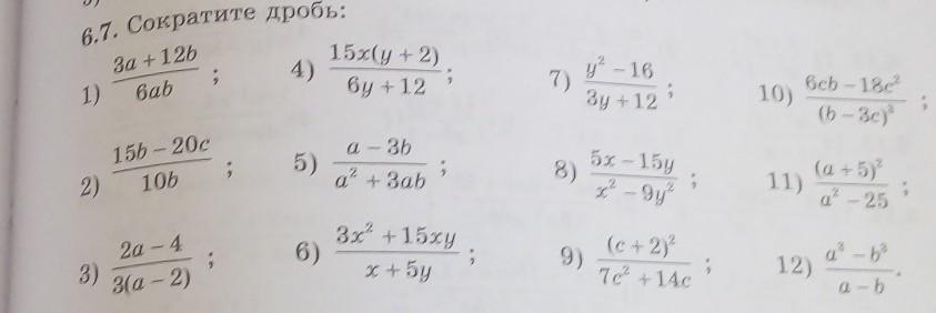
1

Ответ:

1) (а+4b)/2ab   2)(3b-4c)/2b  3)2/3   4) 15x(e+2)/6(e+2)=5x/3

Объяснение:

Приложения:

shoesly: а где остальное?
colncez: а где спасибо ???? больше ответов не будет
colncez: отметить лучшим за 12 примеров?
Вас заинтересует