• Предмет: Математика
  • Автор: sergey453789
  • Вопрос задан 3 года назад

Вычислить пределы функций, не пользуясь средствами

дифференциального исчисления.Помогите пожалуйста

Приложения:

Ответы

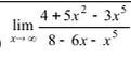
Ответ дал: iosiffinikov
1

Ответ:

3

Пошаговое объяснение:

Преобразуем выражение:

A=(4/x^5)+(5/x^3)-3

B=(8/x^5)-(6/x^3)-1

Дробь преобразуется в

C=A/B

Предел А равен (-3)

Предел В=-1

Предел отношения равен 3

Вас заинтересует