зделайте хотяб 1 пожалута умоляю
Приложения:
                     
                            
                    miki68:
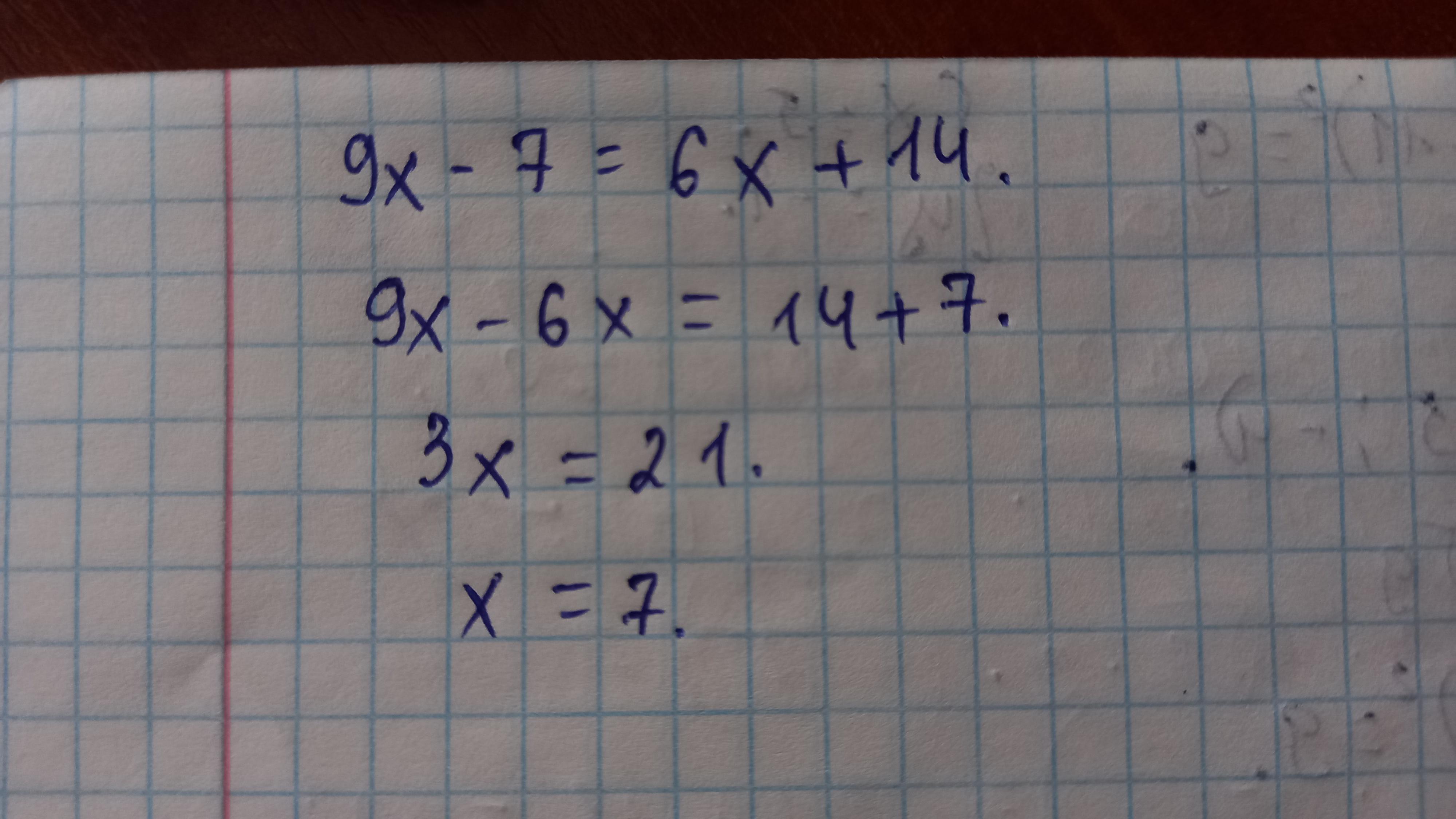
                    9х-6х=7+14, 3х=21, х=7
                
            
                    
                    ето какое
                
            
                    
                    1)
                
            
                    
                    ок  а ищо мож спс большое
                
            
                    
                    2) 6х=4*(25+х),  6х=100+4х, 6х-4х=100, 2х=100, х=50 км/ч скорость товарного, 50+25=75 км/ч скорость пассажирского
                
            
                    
                    3) 0,6-1,6х+6,4=21-1,2х  ;  -0,4х=14  ;  х=-35
                
            
                    
                    4) Пусть х километров это путь в 1 день, тогда   0,6х километров это путь во второй день, а в третий день будет 4/5х километров.
х + 0,6х + 4/5 х = 48
х + 0,6х + 0,8х = 48 х (1 + 0,6 + 0,8) = 48
2,4х = 48
х = 48 / 2,4
х = 20 км в первый день
20 * 0,6 = 12 км во второй день
20 * 0,8 = 16 км в третий день
            х + 0,6х + 4/5 х = 48
х + 0,6х + 0,8х = 48 х (1 + 0,6 + 0,8) = 48
2,4х = 48
х = 48 / 2,4
х = 20 км в первый день
20 * 0,6 = 12 км во второй день
20 * 0,8 = 16 км в третий день
                    
                    спс братан ти  топ
                
            
                    
                    уминяь кр я просто не очень шару спс
                
            Ответы
                                            Ответ дал: 
                                                                                    
                                        
                                            
                                                
                                                
                                                
                                                    1
                                                
                                            
                                        
                                    Ответ:
Пошаговое объяснение:
Приложения:
                     
                            Вас заинтересует
                
                        2 года назад
                    
                
                        2 года назад
                    
                
                        8 лет назад
                    
                
                        9 лет назад