• Предмет: Алгебра
  • Автор: annabin3
  • Вопрос задан 3 года назад

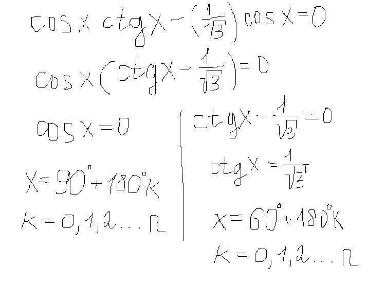
Найди кони уравнения,10класс

Приложения:

Ответы

Ответ дал: ssroman72
0

Ответ:

решение на рисунке

Объяснение:

Приложения:
Вас заинтересует