• Предмет: Алгебра
  • Автор: rodionshamshin
  • Вопрос задан 10 лет назад

СРОЧНО ПОМОГИТЕ!!!!
Разложите на множители
1.(a+b)^3-(a-b)^3
2.(2x+y)^3+(x-2y)^3
3.(2mn-1)^3+1
4.(3a-2b)^3+8b^3

Представьте в виде произведения
1.8a^2+6a^+3a+1
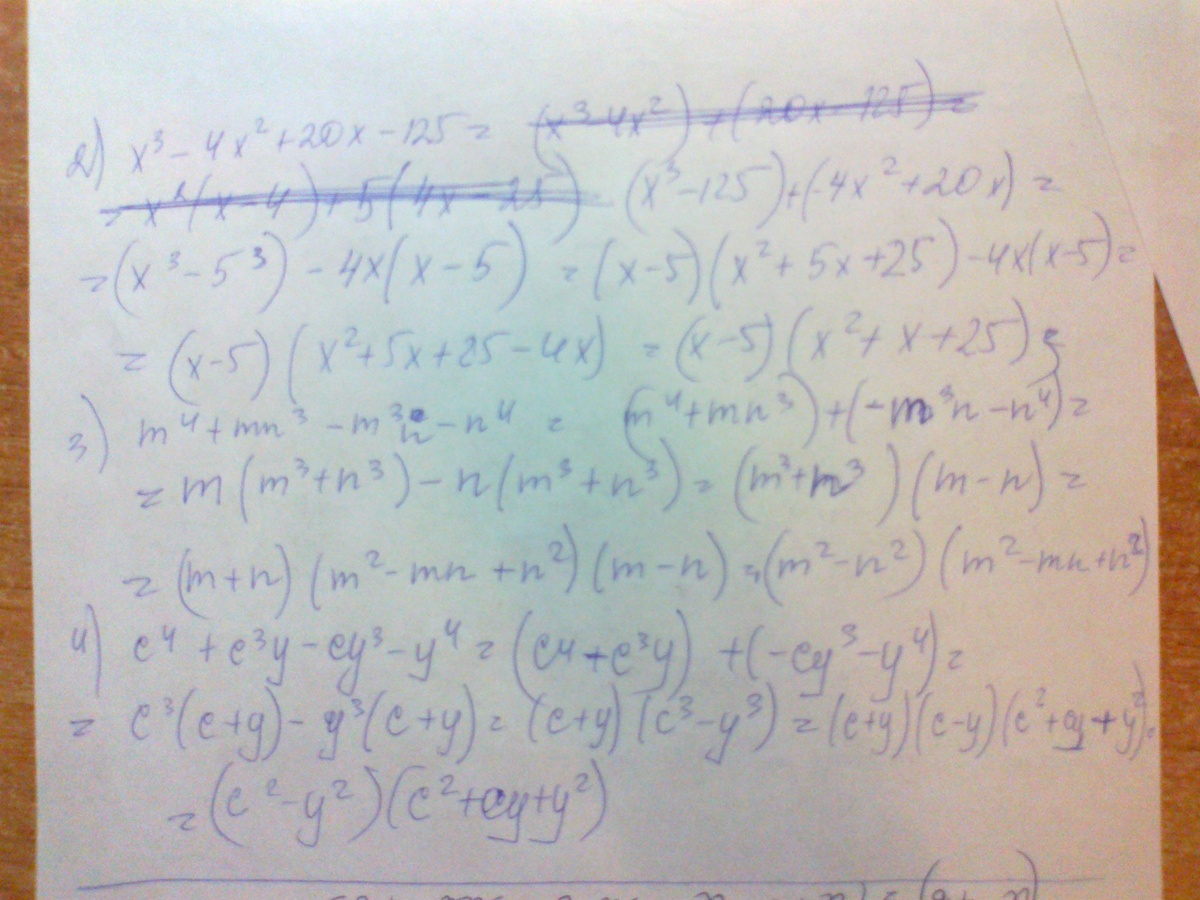
2.x^3-4x^2+20x-125
3.m^4+mn^3-m^3n-n^4
4.c^4+c^3y-cy^3-y^4

Ответы

Ответ дал: 15032
0
Первое сечас решу,там 3 и 4 помотри,ибоя не знаю как вас учат оставлять,ну точнее в каком виде либо предпоследнее в этих формулах,либо последнее 
Приложения:
Ответ дал: 15032
0
НУ ты посомтри и поймёшь!
Ответ дал: 15032
0
посмотри
Вас заинтересует