Ответы
Ответ дал:
2
Ответ:
решение на фотографиях
Приложения:


PuckHu:
Спасибо вам большое
Ответ дал:
1
1. х≠11, х²-х-42≥0, неравенство решим методом интервалов. х²-х-42=0;
По Виету х=7;х=-6;
____-6____________7_________11_____
+ - +
С учетом первого замечания х∈(-∞;6]∪[7;11)∪(11;+∞)
2. подкоренное выражение(4-3х)²≥0 при любом значении х; х≠-2;
х∈(-∞;-2)∪(-2;+∞)
3. х≠1;(√3-х)(√3+х)≥0
______-√3______1__√3______
- + -
х∈[-√3;1)∪(1;√3]
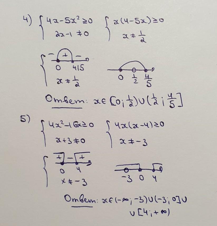
4. х≠0.5; х*(4-5х)≥0
____0____0.5_____0.8______
- + -
х∈[0;0.5)∪(0.5;0.8]
5. x≠-3; 4х*(х-4)≥0;
____-3______0__________4____
+ - +
х∈ (-∞;-3)∪(-3;0]∪[4;+∞)
Вас заинтересует
2 года назад
2 года назад
8 лет назад
8 лет назад
9 лет назад