• Предмет: Алгебра
  • Автор: trunovegor4
  • Вопрос задан 3 года назад

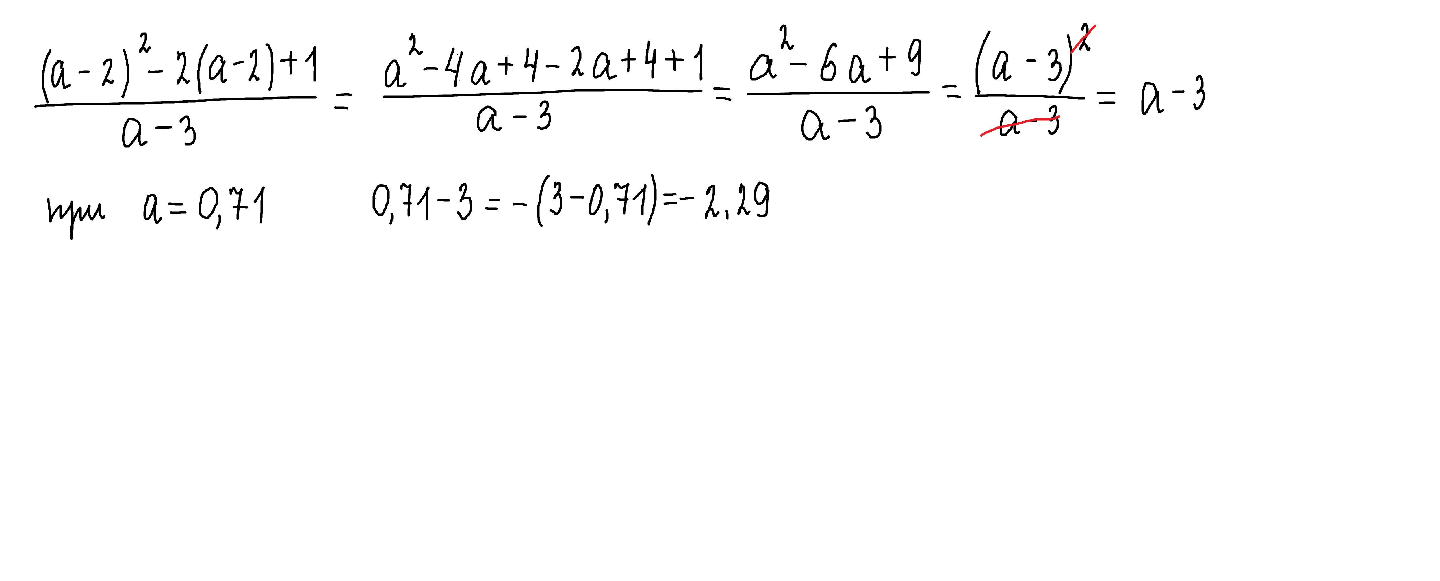
найдите значение выражения при a=0,71
Помогите пожалуйста ​

Приложения:

Ответы

Ответ дал: limonantonovic
1

Ответ:

-2.29

Объяснение:


savinychirina2008: Правильный ответ 0.29
savinychirina2008: 0.29^2
savinychirina2008: 2.29
Ответ дал: parus77
2

Ответ:

-2,29

Объяснение:

Приложения:
Вас заинтересует