• Предмет: Алгебра
  • Автор: starozilovsergej220
  • Вопрос задан 3 года назад

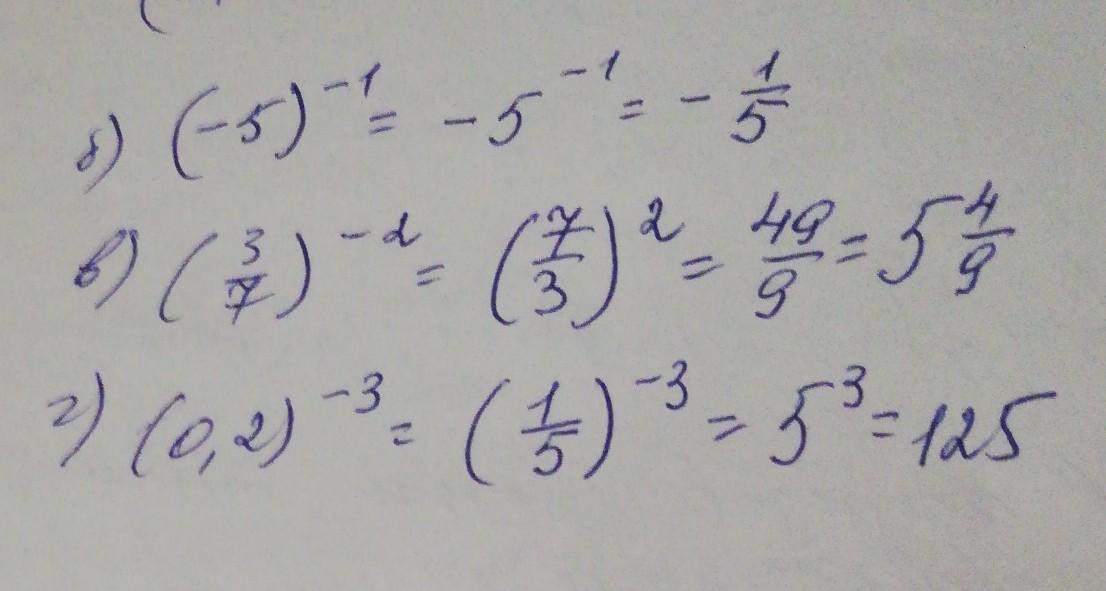
Вычислите:б) (-5)^-1= в) (3/7)^-2= г) (0.2)^-3=

Ответы

Ответ дал: serovaksusa1
1

Ответ:

Смотри решение на фото

Приложения:
Вас заинтересует