Помогите пожалуйста ! ДАЮ 15 БАЛЛОВ
Приложения:

hiroyt38:
Извините пожалуйста забыл изменить баллы:(
Ответы
Ответ дал:
1
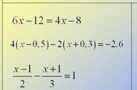
Ответ:
6х-12=4х-8
6х-4х=-8+12
2х=4
х=4:2
х=2
4(х-0.5)-2(х+0.3)=-2.6
4х-2-2х-0.6=-2.6
4х-2х=-2.6+2+0.6
2х=0
Ответ: решений нет
(3x-3-2x-2-6)/6=0
(x-11)=0
x=11
Вас заинтересует
2 года назад
2 года назад
2 года назад
2 года назад
8 лет назад
9 лет назад
9 лет назад