• Предмет: Алгебра
  • Автор: youarmy46
  • Вопрос задан 3 года назад

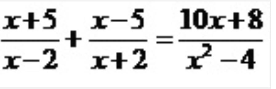
ПОМОГИТЕ РЕШИТЬ, СРОЧНО!!!

Приложения:

Ответы

Ответ дал: AmyWinnie
3

{}{}{}{}{}{}{}

Приложения:
Вас заинтересует