Вычисли при п= 8.
5
Я могу проверить правильность определения порядка
выполнения действий в выражениях.
Проверь, верно ли Света расставила порядок действий
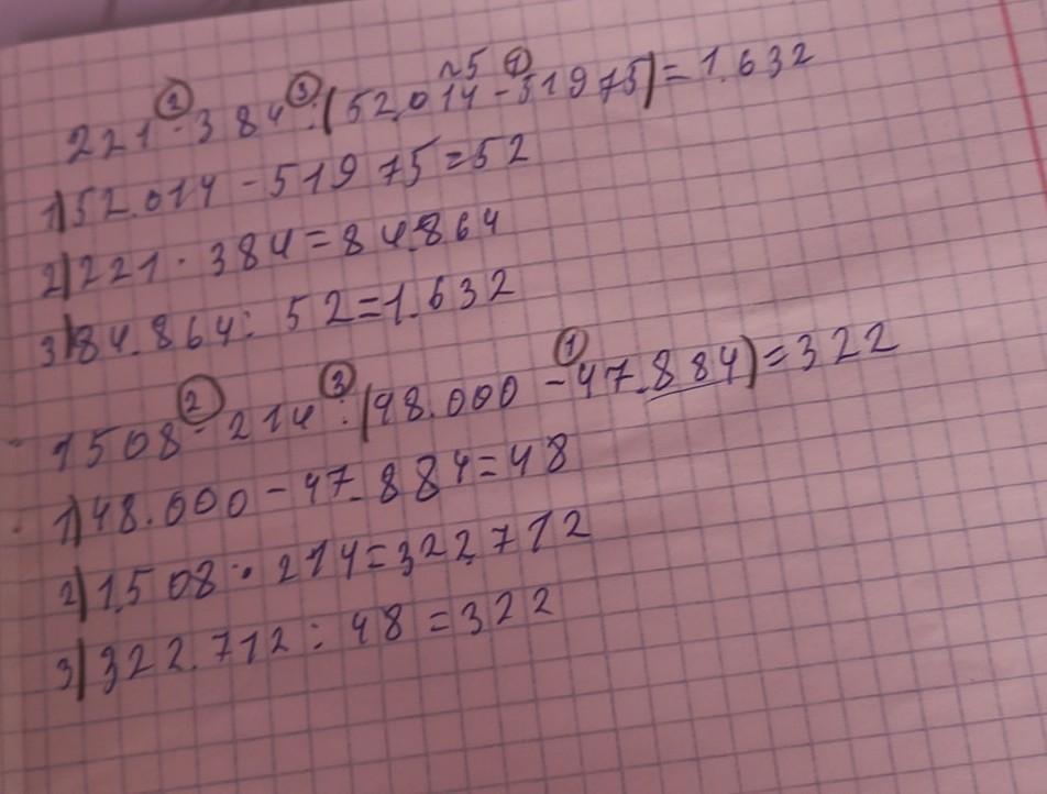
в выражениях. Исправь и вычисли значения выражений.
32 13 2 1
23 1
221 384 :(52 014 - 51 975) 1 508. 214 :(48 000 - 47 884)
Я ЗНА
asatbekasat8:
хорошо
Ответы
Ответ дал:
18
Ответ:
Матиматика
Объяснение:
Приложения:

Вас заинтересует
2 года назад
2 года назад
2 года назад
2 года назад
9 лет назад