ПОЖАЛУЙСТА ХЕЛППП!!!!!!!!!
Розв’яжіть систему рівнянь. У відповіді вкажіть суму розв’язків (х + у)
фото ниже
Приложения:

Ответы
Ответ дал:
3
Ответ:
(-20;-1/2)→сумма=-20+(-1/2)=-(40+1)/2=-41/2=-20½=-20,5
Объяснение:
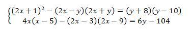
{(2x+1)²-(2x-y)(2x+y)=(y+8)(y-10)
{4x(x-5)-(2x-3)(2x-9)=6y-104
{4x²+4x+1-(4x²-y²)=y²-10y+8y-80
{4x²-20x-(4x²-18x-6x+27)=6y-104
{4x²+4x+1-4x²+y²=y²-2y-80
{4x²-20x-(4x²-24x+27)=6y-104
{4x+y²-y²+2y=-80-1
{4x²-20x-4x²+24x-27=6y-104
{4x+2y=-81
{4x-27=6y-104
{4x=-81-2y
{4x-6y=-104+27
{4x=-81-2y
{4x=-77+6y
-81-2y=-77+6y
-2y-6y=-77+81
-8y=4
y=4÷(-8)
y=-1/2
4x=-77+6(-1/2)
4x=-77-3
4x=-80
x=-80÷4
x=-20
Otvet:(-20;-1/2).
Вас заинтересует
2 года назад
2 года назад
2 года назад
8 лет назад
8 лет назад
9 лет назад
9 лет назад