• Предмет: Химия
  • Автор: deltafoxonelove
  • Вопрос задан 3 года назад

Решите две задачи(с дано и подробным решением, пожалуйста).
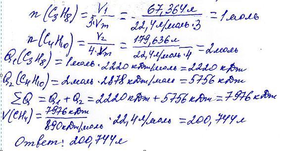
1) В результате сжигания пропан-бутановой смеси (соотношение объемов газов 1:2) образовался углекислый газ объемом 247 л (н. у.). Теплота сгорания пропана составляет 2220 кДж/моль, а бутана - 2878 кДж/моль. Вычислите и укажите объем (л) метана, который надо сжечь (теплота сгорания 890 кДж/моль), чтобы добыть такое же количество теплоты, как от сгорания пропан-бутановой смеси.
2) Теплота сгорания пропана составляет 2220 кДж/моль, а бутана - 2878 кДж/моль. Вычислите и укажите объем (л) метана, который надо сжечь (теплота сгорания 890 кДж/моль), чтобы добыть такое же количество теплоты, как от сгорания пропан-бутановой смеси (соотношение объемов газов 1:1) объемом 448 л.

Ответы

Ответ дал: mrvladimir2
1

     Решение в приложении с дано

Приложения:

12330872: Здравствуйте
12330872: Помогите мне с химией пожалуйста)
deltafoxonelove: Спасибо Вам большое!
zelihovskad: mrvladimir2 помогите с химией пожалуйста
Вас заинтересует