Ответы
Ответ дал:
1
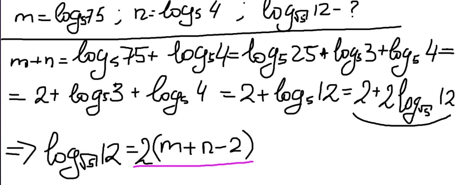
Ответ:
2 * (m + n - 2)
Пошаговое объяснение:
Используя свойства логарифмов, проведем нехитрые преобразования.
Приложения:

Вас заинтересует
2 года назад
2 года назад
2 года назад
8 лет назад
9 лет назад