Ответы
Ответ дал:
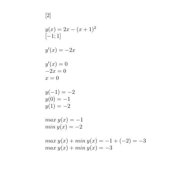
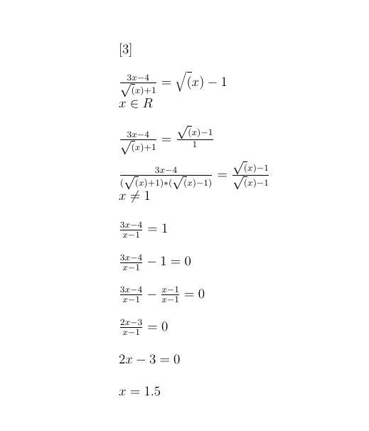
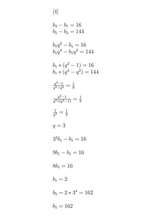
1
Ответ на закрепленных изображениях
Приложения:



Вас заинтересует
2 года назад
2 года назад
2 года назад
8 лет назад
8 лет назад
9 лет назад