• Предмет: Математика
  • Автор: oliapidpala
  • Вопрос задан 3 года назад

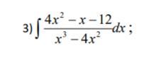
Найти неопределенный интеграл

Приложения:

Ответы

Ответ дал: shamiansergii
0

Ответ:

я сам хз я в 6 классе

Пошаговое объяснение:

самому бы знать

Вас заинтересует