• Предмет: Алгебра
  • Автор: nastaprokopij
  • Вопрос задан 3 года назад

Помогите решить очень срочно надо ​

Приложения:

Ответы

Ответ дал: georgiysladkovskiy
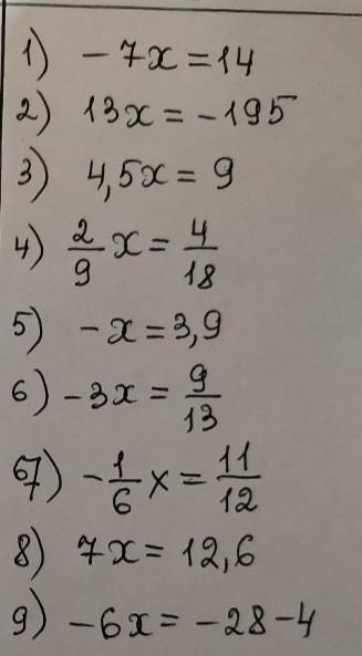
1

Ответ:

1)x=-2

2)x= -15

3)x=2

4)x=1

5)x=-3.9

6)x=-3/13

7)x=5 цілих 1/2

8)x= 1.8

9)x= 5 цілих 1/3

Вас заинтересует