• Предмет: Алгебра
  • Автор: kolakaternak
  • Вопрос задан 3 года назад

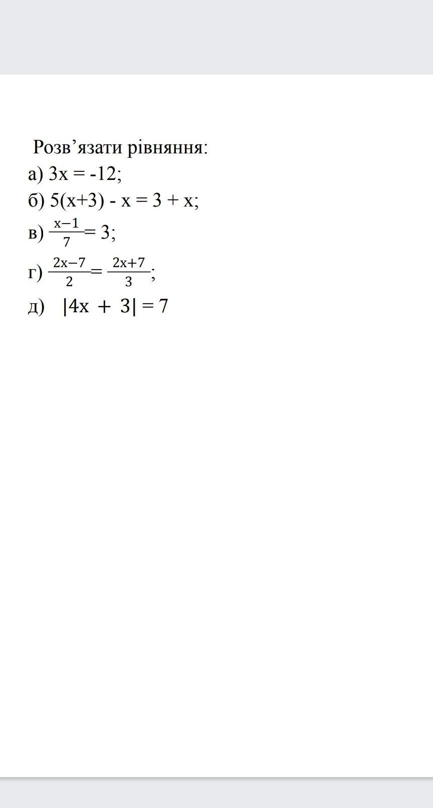
помогите пожалуста с алгеброй 7 клас​

Приложения:

Ответы

Ответ дал: denisazarenkov388
1

Ответ:

а) 3х= -12

х=4

б) 5(х+3) -х = 3 + х

5х+15-х = 3 + х

5х-х-х = 3-15

3х = -12

х= 4

Остальное не помню как решать

Ответ дал: MadGaara
1

Ответ:

а)x=-4

б)x=-4

в)x=22

г)x=35/2

д)x¹(вниз 1)=2,5,x²=1

Объяснение:

приятного дня и удачи (лучший ответ пожалуйста)


denisazarenkov388: Ааа забыл правило что если на - делить то он остаётся
Вас заинтересует