• Предмет: Математика
  • Автор: artemlabus5
  • Вопрос задан 3 года назад

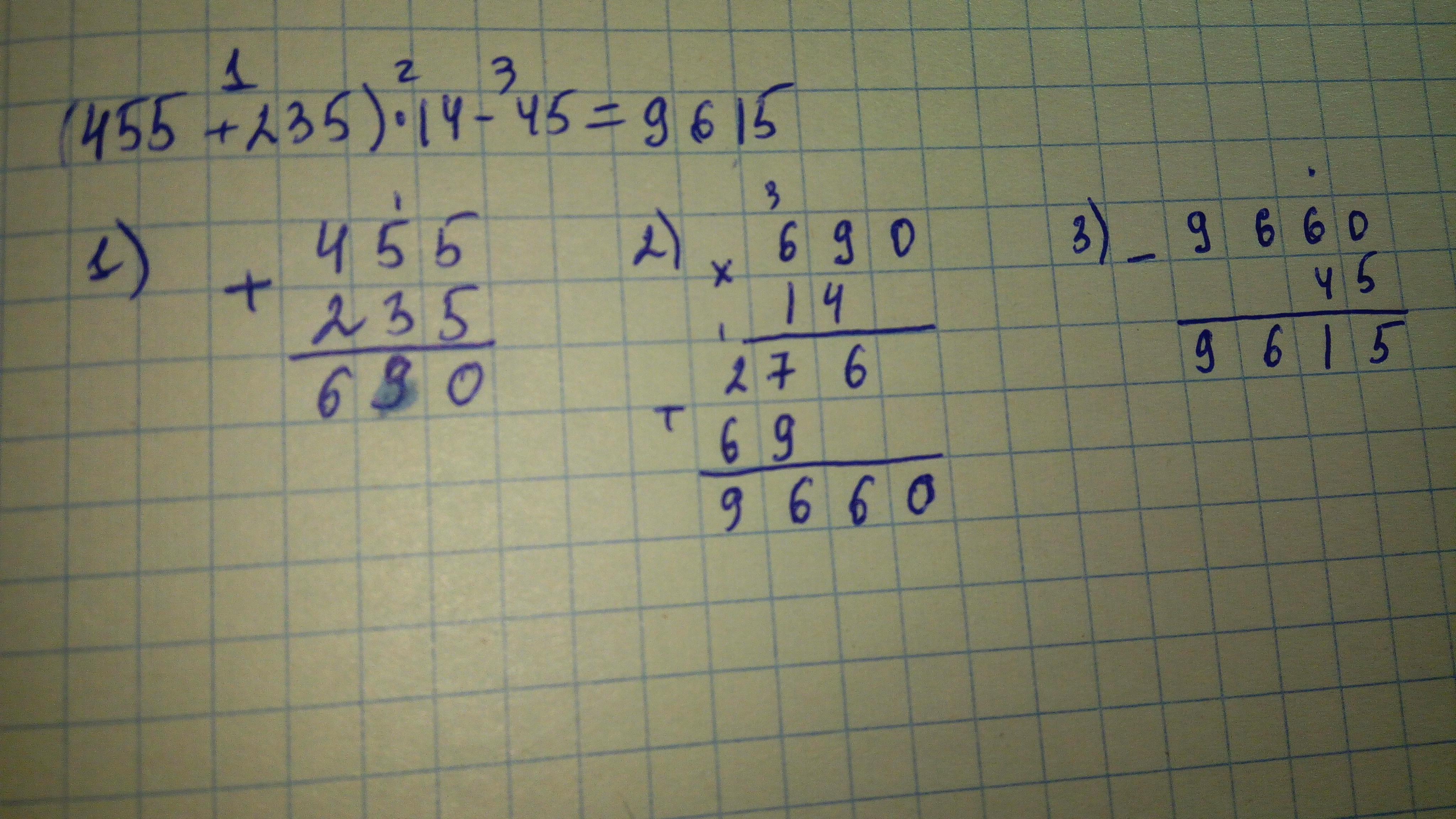
Помогите пожалуйста решить в столбик (455+235)*14-45=?

Ответы

Ответ дал: mapepelyaeva
0

Ответ:

9615.............................

Приложения:
Ответ дал: Эльвира5102
0

Ответ: 9615

.......................

Приложения:
Вас заинтересует