• Предмет: Алгебра
  • Автор: divanov09590
  • Вопрос задан 3 года назад

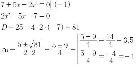
Решите уровнение 7+5x-2x( в кводрате)=0

Ответы

Ответ дал: vov44k
2

Ответ:

x_1=3,5\\x_2=-1

Приложения:
Вас заинтересует