• Предмет: Математика
  • Автор: nickdmnkgod
  • Вопрос задан 3 года назад

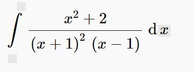
Интегрирование рациональных функций
Вычислить интеграл:

Приложения:

Ответы

Ответ дал: pushpull
0

Ответ:

Пошаговое объяснение:

\displaystyle \int \frac{x^2+2}{(x+1)^2(x-1)} dx = \int \frac{1}{4(x+1)} dx-\int \frac{3}{2(x+1)^2} dx+\int\frac{3}{4(x+1)}dx=

\displaystyle =\frac{1}{4} ln(x+1)+\frac{3}{2} *\frac{1}{x+1} +\frac{3}{4} ln(x+1)

Вас заинтересует