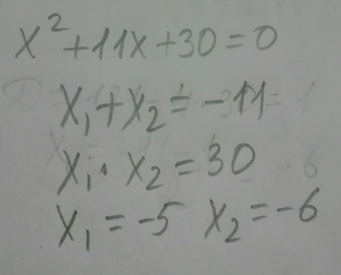
Чому дорівнює сума і добуток коренів квадратного рівняння
x^2+11x+30=0 ?
А. x_1+x_2=-11; x_1∙x_2=30.
Б. x_1+x_2=11; x_1∙x_2=-30.
В. x_1+x_2=11; x_1∙x_2=30.
Г. x_1+x_2=-11; x_1∙x_2=-30.
Ответы
Ответ дал:
1
Ответ:
Чому дорівнює сума і добуток коренів квадратного рівняння
x^2+11x+30=0 ?
А. x_1+x_2=-11; x_1∙x_2=30.
Приложения:

Вас заинтересует
2 года назад
2 года назад
2 года назад
8 лет назад
8 лет назад
9 лет назад
9 лет назад