Срочно решите пример очень надо 7 класс
Приложения:

camalmustafayev83:
там как надо графическим способом
Ответы
Ответ дал:
0
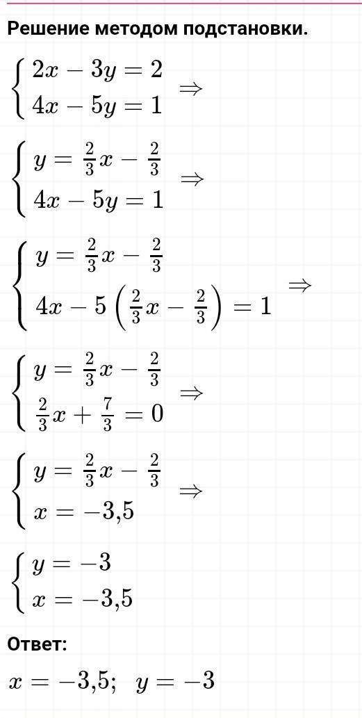
я решил способом подстановки
нажми на картинку и посмотри ответ
Сделай мой ответ лучшим. Спасибо
Приложения:

Ответ дал:
1
Ответ:
х=-3, 5 у=-3
Объяснение:
{ 2х-3у=2 |×-2
{4х-5у=1
{-4х+6у=-4
+
{4х-5у=1
у=-3
2х-3у=2
2х-3×(-3) =2
2х+9=2
2х=2-9
2х=-7
х=-3, 5
Вас заинтересует
2 года назад
2 года назад
2 года назад
8 лет назад
8 лет назад