• Предмет: Алгебра
  • Автор: kirill5604
  • Вопрос задан 3 года назад

Решите быстро пожалуйста номер прошу

Приложения:

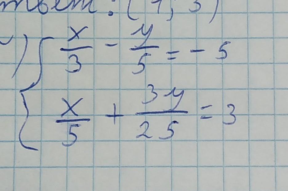
kaarimt98: X/3-x/5-y/5+3y/25=-5+3
2x/15-2y/25=-2|сокращаем на 2
X/15-y/25=0
X/15=y/25
X=15y/25
X=3y/5
Y/15-3y/25=-5
10y/375=-5
2y/75=-5
2y=-375
Y=-187,5
javohbekbulsinov0303: не правильно

Ответы

Ответ дал: javohbekbulsinov0303
1

Ответ:

х=0

у= 25

Объяснение:

Приложения:

kirill5604: Спасибо
javohbekbulsinov0303: не за что
javohbekbulsinov0303: можете сделать ответ лучшим?
Вас заинтересует