• Предмет: Информатика
  • Автор: timurgrishin1999
  • Вопрос задан 3 года назад

Домашнее задание «Повторение по теме «Системы счисления» Среди приведённых ниже трёх чисел, записанных в различных системах счисления, найдите максимальное и запишите его в ответе в десятичной системе счисления. В ответе запишите только число, основание системы счисления не нужно. A) 26, 11101, Б) 28… 47… 101010 B) 4916, 102,, 1000111

Приложения:

Ответы

Ответ дал: rinatmuxekto86
0

Ответ:

A)38

Б)42

В)73

Объяснение:

Приложения:
Ответ дал: flickyoff
0

Ответ:

а) 38

б) 42

в) 73

Объяснение:

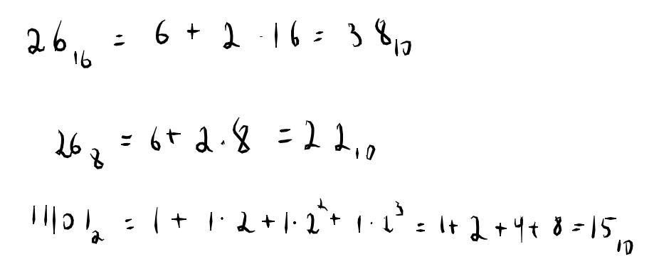
а) 26 в 16 с.сч. = 38 в 10 с.сч.

26 в 8 с.сч. = 22 в 10 с.сч.

11101 в 2 с.сч. = 29 в 10 с.сч.

Под буквой А правильным ответом будет 38

б) 28 в 16 с.сч. = 40 в 10 с.сч.

47 в 8 с.сч = 39 в 10 с.сч.

101010 в 2 с.сч = 42 в 10 с.сч.

Под буквой Б правильным ответом будет 42

в) 49 в 16 с.сч = 73 в 10 с.сч.

102 в 8 с.сч. = 66 в 10 с.сч.

1000111 в 2 с.сч = 71 в 10 с.сч.

Под буквой В правильным ответом будет 73

Надеюсь помог, удачи!

P.S. если моё решение было действительно полезным и в полной мере закрыло вопрос, отметь его Лучшим. Спасибо!)

Вас заинтересует