• Предмет: Алгебра
  • Автор: adilhansagyntaj1
  • Вопрос задан 3 года назад

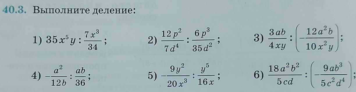
40.3. Выполните деление:
Сделай только 4 и 6 задание!!!

Приложения:

sonakukuska93: спасибо

Ответы

Ответ дал: lrepina474
3

Ответ:

4)- 3а/в^2

Объяснение:

а^2. ав. а^2×36. 3а

4) - ------- ÷ -------- = - --------------- = - ------------

12в. 36. 12в×ав. в^2


adilhansagyntaj1: Спасибо , а где 6?
lrepina474: долго писать решение, могу ответ только нужно?
Ответ дал: sonakukuska93
4

Ответ:

4)-a^2/12b × 36/ab =-a/b × 3/b = - 3a/b^2

6)18a^2 b^2/5cd × (-5c^2 d^4/9ab^3)=2a/1 ×(-cd^3/b)


sonakukuska93: подпишись пожалуйста!
adilhansagyntaj1: ок
sonakukuska93: спасибо
Аноним: Это не правильно
Аноним: Там зачеркивать надо
Вас заинтересует