• Предмет: Алгебра
  • Автор: ahmad57
  • Вопрос задан 3 года назад

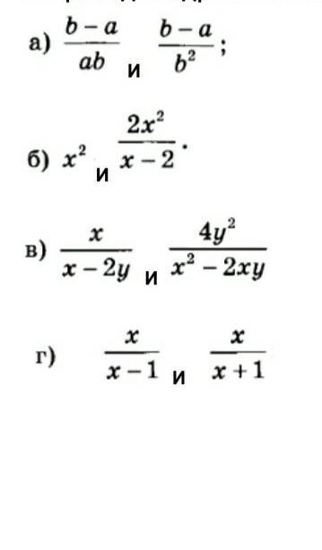
приведите дроби к общему знаменателю.Пожалуйста помогите​

Приложения:

Ответы

Ответ дал: yaroslavcevoffice
0

Объяснение:

а)

 \frac{b - a}{ab}  \:  \:  \frac{b - a}{ {b}^{2} }

 \frac{ {b^{2}  - a}^{} }{a {b}^{2} }  \:  \:  \:  \:  \frac{b -  {a}^{2}  }{a {b}^{2} }

б)

 {x}^{2}  \:  \:  \:  \:  \frac{2x ^{2} }{x - 2}  \\  \\  \frac{ {x}^{2}(x - 2) }{x - 2}  \:  \:  \: \:  \:  \:  \:  \:  \:  \:   \frac{2 {x}^{2} }{x - 2}

в)

 \frac{x}{x - 2y}  \:  \:  \:  \:  \:  \:  \frac{4 {y}^{2} }{ {x}^{2} - 2xy }  \\  \frac{ {x}^{3} }{ {x}^{2} - 2xy }  \:  \:  \:  \:  \:  \:  \:  \:  \:  \frac{4 {y}^{2} }{ {x}^{2} - 2xy }

г)

 \frac{x}{x - 1}  \:  \:  \:  \:  \:  \frac{x}{x + 1}  \\  \frac{x(x + 1)}{(x - 1)(x + 1)}  \:  \:  \:  \:  \:  \:  \frac{x(x - 1)}{(x - 1)(x + )}

Вас заинтересует