• Предмет: Физика
  • Автор: nazar1793
  • Вопрос задан 3 года назад

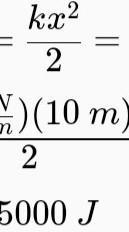
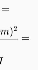
Динамометр пружина якого розтягнулася на 10 сантиметрів показує силу 100 Ньютон. Яка потенціальна енергія розтягнутої пружини​

Ответы

Ответ дал: dudkomaksim554
5

Ответ:

Держи надеюсь что помог

Приложения:
Вас заинтересует