• Предмет: Алгебра
  • Автор: Lina23101
  • Вопрос задан 3 года назад

Помогите пожалуйста выполнить задание

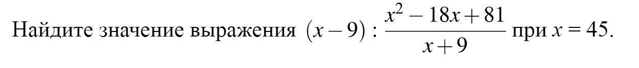
Приложения:

Ответы

Ответ дал: uschikyelyzaveta
0

Ответ:

1. 1,5

2. 5

Объяснение:

1. x²‐18x+81

(x-9) : x+9

45²-18•45+81

(45-9) : 45+9

45²-729

36 : 54

54

36 • 45²-729

1944

45²-729

1944

2025-729

1944

1296

3

2 = 1,5

Вас заинтересует