• Предмет: Математика
  • Автор: 89Oleg89
  • Вопрос задан 3 года назад

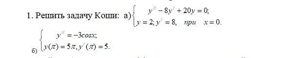
Решите пожалуйста задачу Коши

Приложения:

Ответы

Ответ дал: Miroslava227
3

Ответ:

а)

y'' - 8y' + 20y = 0 \\  \\ y =  {e}^{kx}  \\  \\ k {}^{2}  - 8k  + 20 = 0\\ D= 64 - 60 = 4\\ k_1 =  \frac{8 + 2}{2} = 5 \\  k_2 = 3 \\  \\ y = C_1 {e}^{5x}  + C_2 {e}^{3x}

общее решение

y(0) = 2,y'(0) = 8

y = 5C_1 {e}^{5x}  + 3C_2 {e}^{3x}

2 = C_1 + C_2\\ 5c1 + 3C_2 = 8 \\ C_1 = C_2 = 1

y =  {e}^{5x}  +  {e}^{3x}

частное решение

б)

y'' =  - 3 \cos(x)

y' =  - 3\int\limits \cos(x) dx =  - 3 \sin(x)  + C_1 \\

y = \int\limits( - 3 \sin(x)  + C_1)dx = 3 \cos(x)  + C_1x + C_2 \\

общее решение

y(\pi) = 5\pi ,\: y'(\pi) = 5

 - 3 \sin(\pi)  + C_1 = 5 \\ 3 \cos(\pi) +  C_1 \times \pi + C_2 = 5\pi \\  \\ C_1 = 5 \\ C_2 =  \frac{5\pi + 3}{\pi}  = 5 +  \frac{3}{\pi}

y = 3 \cos(x)  + 5x + 5 +  \frac{3}{\pi}  \\

частное решение


SoSGa: Мирослава, хотел бы вам задать вопрос, вы все делаете это с комп'ютера?
Miroslava227: Нет, с телефона
SoSGa: И ещё вопрос, зачем вам баллы? Или вы просто помогаете тем, кто нуждается в этом?)
SoSGa: Потому что вопросов у вас абсолютно 0
SoSGa: А так я просто написал откуда все эти знаки, просто у меня некоторых знаков для решения нету)))
SoSGa: Поинтересовался)
Вас заинтересует