Ответы
Ответ дал:
1
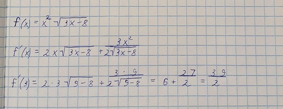
Ответ:
39/2
Объяснение:
производная от сложной функции в точке с абциссой 3
Приложения:

nurcanpashali:
Спасибо вам большое
Вас заинтересует
2 года назад
2 года назад
2 года назад
8 лет назад
8 лет назад